在均匀磁路中,磁场强度H与电流i的关系为(  )。{图}

作者: rantiku 人气: - 评论: 0
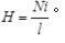
问题 在均匀磁路中,磁场强度H与电流i的关系为(  )。
选项 {图}
答案 B
解析 如果沿闭合路径上各点磁场强度H均相等,其方向均与路径切线方向(即与dl方向)相同,且所包围的电流i通过匝数为N的线圈时,因电流i重复穿入该回路N次,故安培环路定律定义式就简化为: 所以在均匀磁路中,磁场强度H与电流i的关系为:

猜你喜欢

发表评论
更多 网友评论0 条评论)
暂无评论

Copyright © 2012-2014 恰考网 Inc. 保留所有权利。 Powered by tikuer.com

页面耗时0.0415秒, 内存占用1.03 MB, Cache:redis,访问数据库19次