输水管道的直径为200mm,输水量为1177KN/H(重量流量),其断面平均流速为: (A) 1.06m/s (B) 2.06m/s(C) 3.06...

作者: rantiku 人气: - 评论: 0
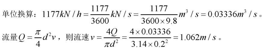
问题 输水管道的直径为200mm,输水量为1177KN/H(重量流量),其断面平均流速为: (
选项 A) 1.06m/s (B) 2.06m/s(C) 3.06m/s (D) 4.06m/s
答案 A
解析

猜你喜欢

发表评论
更多 网友评论0 条评论)
暂无评论

Copyright © 2012-2014 恰考网 Inc. 保留所有权利。 Powered by tikuer.com

页面耗时0.0397秒, 内存占用1.02 MB, Cache:redis,访问数据库20次