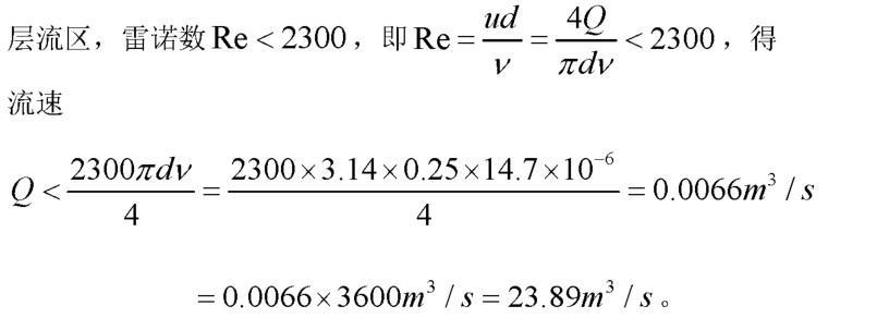
一圆断面风道,直径为250mm,输送10℃的空气,其运动粘度为14.7X 10-6 m2/s,若临界雷诺数为2300,则保持层流流态的最大流量为: (...

作者: rantiku 人气: - 评论: 0
问题 一圆断面风道,直径为250mm,输送10℃的空气,其运动粘度为14.7X 10-6 m2/s,若临界雷诺数为2300,则保持层流流态的最大流量为: (
选项 A) 12m3/h (B)18m3/h (D)24m3/h (D) 30m3/h
答案 C
解析

猜你喜欢

发表评论
更多 网友评论0 条评论)
暂无评论

Copyright © 2012-2014 恰考网 Inc. 保留所有权利。 Powered by tikuer.com

页面耗时0.0385秒, 内存占用1.03 MB, Cache:redis,访问数据库20次