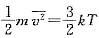
关于热力学温度的意义,有下列几种说法: (1)气体的温度是分子的平均平动动能的量度 (2)气体的温度是大量气体分子热运动的集体表现,具有统计意义 ...

作者: rantiku 人气: - 评论: 0
问题 关于热力学温度的意义,有下列几种说法: (1)气体的温度是分子的平均平动动能的量度 (2)气体的温度是大量气体分子热运动的集体表现,具有统计意义 (3)温度的高低反映物质内部分子运动剧烈程度的不同 (4)从微观上分析,气体的温度表示每个气体分子的冷热程度 以上说法其中正确的是( )。
选项 A、(1)(2)(4) B、(1)(2)(3) C、(2)(3)(4) D、(1)(3)(4)
答案 B
解析 由能量公式可知,理想气体的热力学温度T是气体分子平均平动动能的度量,是大量气体分子热运动的集体表现,具有统计意义,也是物质内部大量分子热运动剧烈程度的度量,对个别分子要说它有温度是没有意义的

猜你喜欢

发表评论
更多 网友评论0 条评论)
暂无评论

Copyright © 2012-2014 恰考网 Inc. 保留所有权利。 Powered by tikuer.com

页面耗时0.0412秒, 内存占用1.03 MB, Cache:redis,访问数据库19次