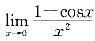
=( )。A、0 B{图1}、、 C、1 D、2

作者: rantiku 人气: - 评论: 0
问题 =( )。
选项 A、0 B{图1}、、 C、1 D、2
答案 B
解析 由重要极限或用洛必达法则

猜你喜欢

发表评论
更多 网友评论0 条评论)
暂无评论

Copyright © 2012-2014 恰考网 Inc. 保留所有权利。 Powered by tikuer.com

页面耗时0.0464秒, 内存占用1.01 MB, Cache:redis,访问数据库16次