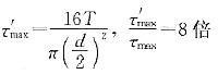
把直径为8cm的实心受扭圆杆的直径改为4cm,其他条件不变,则直径改小后的最大切应力是原来的( )。A、2倍 B、4倍 C、8倍 D、16倍

作者: rantiku 人气: - 评论: 0
问题 把直径为8cm的实心受扭圆杆的直径改为4cm,其他条件不变,则直径改小后的最大切应力是原来的( )。
选项 A、2倍 B、4倍 C、8倍 D、16倍
答案 C
解析 改小前改小后

猜你喜欢

发表评论
更多 网友评论0 条评论)
暂无评论

Copyright © 2012-2014 恰考网 Inc. 保留所有权利。 Powered by tikuer.com

页面耗时0.0298秒, 内存占用1.01 MB, Cache:redis,访问数据库18次