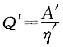
某理想气体分别进行如图2所示的两个卡诺循环:Ⅰ(abcda)和Ⅱ(a'b'c'd'a'),且两条循环曲线所包围的面积相等。设循环Ⅰ的效率为η,每...

作者: rantiku 人气: - 评论: 0
问题 某理想气体分别进行如图2所示的两个卡诺循环:Ⅰ(abcda)和Ⅱ(a'b'c'd'a'),且两条循环曲线所包围的面积相等。设循环Ⅰ的效率为η,每次循环在高温热源处吸收热量Q,循环Ⅱ的效率为η',每次循环在高温热源吸收的热量为Q',则( )。
选项 A、η<η',Q<Q' B、η<η',Q>Q' C、η>η',Q<Q' D、η>η',Q>Q'
答案 B
解析 按题意,Ⅰ和Ⅱ两个卡诺循环分别在高低温热源T1、T2和T'1、T'2下进行,则有和,由图示,T'1>T1,T'2<T2高温热源温度愈高,低温热源温度愈低,卡诺循环效率愈大,则有η<η'。按题意,在高温热源吸收的热量Q和Q'分别为和,由题意知,Ⅰ循环和Ⅱ循环曲线包围的面积相等,即对外所做的净功A=A',可得Q>Q'

猜你喜欢

发表评论
更多 网友评论0 条评论)
暂无评论

Copyright © 2012-2014 恰考网 Inc. 保留所有权利。 Powered by tikuer.com

页面耗时0.0427秒, 内存占用1.03 MB, Cache:redis,访问数据库18次