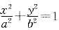
设L为椭圆,其方向是逆时针的,则=( )。A、πab B、2πab C、-πab D、-2πab

作者: rantiku 人气: - 评论: 0
问题 设L为椭圆,其方向是逆时针的,则=( )。
选项 A、πab B、2πab C、-πab D、-2πab
答案 B
解析 由格林公式

猜你喜欢

发表评论
更多 网友评论0 条评论)
暂无评论

Copyright © 2012-2014 恰考网 Inc. 保留所有权利。 Powered by tikuer.com

页面耗时0.0449秒, 内存占用1.03 MB, Cache:redis,访问数据库20次