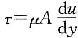
与牛顿内摩擦定律直接有关的因素是( )。A、压强 B、剪切变形 C、切应力 D、流速

作者: rantiku 人气: - 评论: 0
问题 与牛顿内摩擦定律直接有关的因素是( )。
选项 A、压强 B、剪切变形 C、切应力 D、流速
答案 C
解析 根据牛顿内摩擦定律可知

猜你喜欢

发表评论
更多 网友评论0 条评论)
暂无评论

Copyright © 2012-2014 恰考网 Inc. 保留所有权利。 Powered by tikuer.com

页面耗时0.0381秒, 内存占用1.03 MB, Cache:redis,访问数据库20次