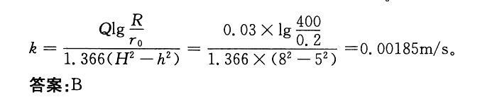
对一维渐变渗流,完全潜水井的含水层厚度H为8m,井的半径r0为0. 2m,抽水时井的涌水量Q为0. 03m3/s,井中水深A为5m,若取影响半径R= 40...

作者: rantiku 人气: - 评论: 0
问题 对一维渐变渗流,完全潜水井的含水层厚度H为8m,井的半径r0为0. 2m,抽水时井的涌水量Q为0. 03m3/s,井中水深A为5m,若取影响半径R= 400m,计算渗流系数是为:
选项 A. 0. 0025m/s B. 0. 0018m/s C. 0. 018m/s D. 0. 025m/s
答案 B
解析

猜你喜欢

发表评论
更多 网友评论0 条评论)
暂无评论

Copyright © 2012-2014 恰考网 Inc. 保留所有权利。 Powered by tikuer.com

页面耗时0.0411秒, 内存占用1.03 MB, Cache:redis,访问数据库19次