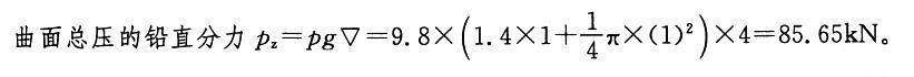
图示圆弧形闸门AB(l/4圆),闸门宽4m,圆弧半径R=lm,A点以上的水深H = 1. 4m,水面为大气压强。该闸门AB上作用静水总压力的铅垂分力Py为...

作者: rantiku 人气: - 评论: 0
问题 图示圆弧形闸门AB(l/4圆),闸门宽4m,圆弧半径R=lm,A点以上的水深H = 1. 4m,水面为大气压强。该闸门AB上作用静水总压力的铅垂分力Py为:
选项 A. 54.88kN B. 94.08kN C. 85.65kN D.74.48kN (注:此题考查内容2009年大纲已删除) {图}
答案 C
解析

猜你喜欢

发表评论
更多 网友评论0 条评论)
暂无评论

Copyright © 2012-2014 恰考网 Inc. 保留所有权利。 Powered by tikuer.com

页面耗时0.0558秒, 内存占用1.03 MB, Cache:redis,访问数据库18次