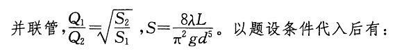
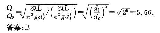
图示长管并联管段1、2,两管段长度I相等,直径d1=2d2,沿程阻力系数相等,则两管 段的流量比Q1/Q2为: A. 8. 00 B. 5. 66...

作者: rantiku 人气: - 评论: 0
问题 图示长管并联管段1、2,两管段长度I相等,直径d1=2d2,沿程阻力系数相等,则两管 段的流量比Q1/Q2为:
选项 A. 8. 00 B. 5. 66 C. 2. 83 D. 2. 00
答案 B
解析

猜你喜欢

发表评论
更多 网友评论0 条评论)
暂无评论

Copyright © 2012-2014 恰考网 Inc. 保留所有权利。 Powered by tikuer.com

页面耗时0.0406秒, 内存占用1.03 MB, Cache:redis,访问数据库20次