某公司拟用债券和普通股两种方式融资,其中债券的融资费率为5%,利息率为12.5%;普通股筹资费率为6%,第一年股利率为11%,以后每年增长5%。该公司所得...

作者: rantiku 人气: - 评论: 0
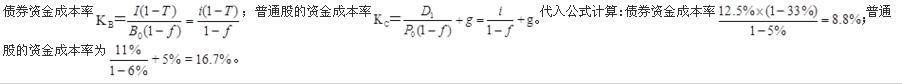
问题 某公司拟用债券和普通股两种方式融资,其中债券的融资费率为5%,利息率为12.5%;普通股筹资费率为6%,第一年股利率为11%,以后每年增长5%。该公司所得税率为33%,则债券与普通股的资金成本率分别为(  )。
选项 A.8.8%、16.7% B.13.2%、7.8% C.8.8%、7.8% D.13.2%、16.7%
答案 A
解析

猜你喜欢

发表评论
更多 网友评论0 条评论)
暂无评论

Copyright © 2012-2014 恰考网 Inc. 保留所有权利。 Powered by tikuer.com

页面耗时0.0398秒, 内存占用1.03 MB, Cache:redis,访问数据库19次