圆轴直径d=20mm,材料的弹性常数E=200GPa,μ=0.3。现测得圆轴表面与轴线成45方向的应变ε=52*10-4,则转矩(  )。 A.m=1...

作者: rantiku 人气: - 评论: 0
问题 圆轴直径d=20mm,材料的弹性常数E=200GPa,μ=0.3。现测得圆轴表面与轴线成45方向的应变ε=52*10-4,则转矩(  )。
选项 A.m=125.7Nm B.m=628Nm C.m=1257Nm D.m=2334Nm
答案 D
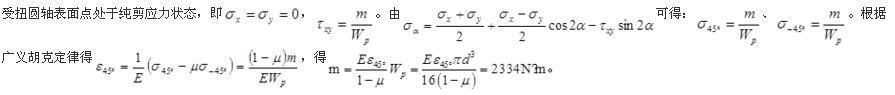
解析

猜你喜欢

发表评论
更多 网友评论0 条评论)
暂无评论

Copyright © 2012-2014 恰考网 Inc. 保留所有权利。 Powered by tikuer.com

页面耗时0.0329秒, 内存占用1.03 MB, Cache:redis,访问数据库19次