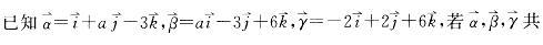
面,则a等于:A. 1 或 2 B. -1 或 2 C. -1 或-2 D. 1 或-2

作者: rantiku 人气: - 评论: 0
问题 面,则a等于:
选项 A. 1 或 2 B. -1 或 2 C. -1 或-2 D. 1 或-2
答案 C
解析

猜你喜欢

发表评论
更多 网友评论0 条评论)
暂无评论

Copyright © 2012-2014 恰考网 Inc. 保留所有权利。 Powered by tikuer.com

页面耗时0.0377秒, 内存占用1.03 MB, Cache:redis,访问数据库19次