作者: rantiku 人气: - 评论: 0
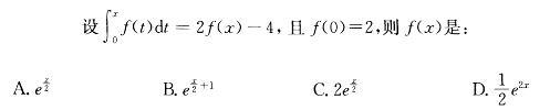
问题
选项
答案 C
解析 提示 对方程两边求导,化为一阶微分方程,再利用一阶微分方程知识计算。 求导f(x)=2f'(x),令f(x)=y,f'(x)=y',得微分方程2y'=y,分离度量(2/y)dy=dx,求
  • 上一篇:
  • 下一篇:

相关内容:

猜你喜欢

发表评论
更多 网友评论0 条评论)
暂无评论

Copyright © 2012-2014 恰考网 Inc. 保留所有权利。 Powered by tikuer.com

页面耗时0.0640秒, 内存占用1.01 MB, Cache:redis,访问数据库20次