波长为λ的单色光垂直照射到置于空气中的玻璃劈尖上,玻璃的折射率为n,则第三级暗条纹处的玻璃厚度为:

作者: rantiku 人气: - 评论: 0
问题 波长为λ的单色光垂直照射到置于空气中的玻璃劈尖上,玻璃的折射率为n,则第三级暗条纹处的玻璃厚度为:
选项
答案 A
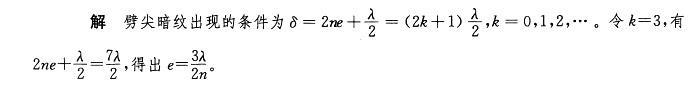
解析

猜你喜欢

发表评论
更多 网友评论0 条评论)
暂无评论

Copyright © 2012-2014 恰考网 Inc. 保留所有权利。 Powered by tikuer.com

页面耗时0.0285秒, 内存占用1.03 MB, Cache:redis,访问数据库19次