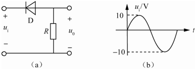
二极管应用电路如图(a)所示,电路的激励Ui如图(b)所示,设二极管为理想器件,则电路的输出电压uo的平均值Uo=(  )。

作者: rantiku 人气: - 评论: 0
问题 二极管应用电路如图(a)所示,电路的激励Ui如图(b)所示,设二极管为理想器件,则电路的输出电压uo的平均值Uo=(  )。
选项
答案 C
解析 半导体二极管两端电压U与流过二极管的电流I之间的关系,称为二极管的伏安特性:①当给二极管外加正向电压时,二极管导通,可近似认为正向压降为0,相当于开关短接,Uo=0;②给二极管外加反向电压时,Ui的正半周期二极管截止,电流为0,相当于开关打开,Uo=0;Ui的负半周期二极管反向导通,Uo=Ui,为半波整流电路,输出电压的平均值为:Uo=

猜你喜欢

发表评论
更多 网友评论0 条评论)
暂无评论

Copyright © 2012-2014 恰考网 Inc. 保留所有权利。 Powered by tikuer.com

页面耗时0.0412秒, 内存占用1.03 MB, Cache:redis,访问数据库17次