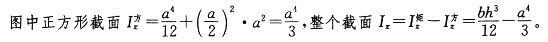
矩形截面挖去一个边长为a的正方形,如图所示,该截面对z轴的惯性矩Iz为:

作者: rantiku 人气: - 评论: 0
问题 矩形截面挖去一个边长为a的正方形,如图所示,该截面对z轴的惯性矩Iz为:
选项
答案 C
解析

猜你喜欢

发表评论
更多 网友评论0 条评论)
暂无评论

Copyright © 2012-2014 恰考网 Inc. 保留所有权利。 Powered by tikuer.com

页面耗时0.0406秒, 内存占用1.02 MB, Cache:redis,访问数据库20次