下列极限计算中,错误的是:

作者: rantiku 人气: - 评论: 0
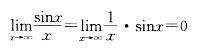
问题 下列极限计算中,错误的是:
选项
答案 B
解析 提示 利用无穷小的性质,无穷小量与有界函数乘积为无穷小量。

猜你喜欢

发表评论
更多 网友评论0 条评论)
暂无评论

Copyright © 2012-2014 恰考网 Inc. 保留所有权利。 Powered by tikuer.com

页面耗时0.0392秒, 内存占用1.03 MB, Cache:redis,访问数据库20次