已知某理想气体的摩尔数为v,气体分子的自由度为i,k为玻尔兹曼常量,R为摩尔气

作者: rantiku 人气: - 评论: 0
问题 已知某理想气体的摩尔数为v,气体分子的自由度为i,k为玻尔兹曼常量,R为摩尔气
选项
答案 B
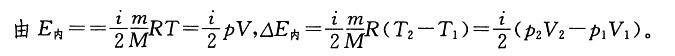
解析

猜你喜欢

发表评论
更多 网友评论0 条评论)
暂无评论

Copyright © 2012-2014 恰考网 Inc. 保留所有权利。 Powered by tikuer.com

页面耗时0.0390秒, 内存占用1.03 MB, Cache:redis,访问数据库20次