在图示4种应力状态中,切应力值最大的应力状态是:

作者: rantiku 人气: - 评论: 0
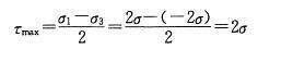
问题 在图示4种应力状态中,切应力值最大的应力状态是:
选项
答案 C
解析 图C)中σ1和σ3的差值最大。

猜你喜欢

发表评论
更多 网友评论0 条评论)
暂无评论

Copyright © 2012-2014 恰考网 Inc. 保留所有权利。 Powered by tikuer.com

页面耗时0.0430秒, 内存占用1.03 MB, Cache:redis,访问数据库18次