已知平面简谐波的方程为y=Acos(bt-Cx),式中A、B、C为正常数,此波的波长和波速分别为: {图}

作者: rantiku 人气: - 评论: 0
问题 已知平面简谐波的方程为y=Acos(bt-Cx),式中
选项 A、B、C为正常数,此波的波长和波速分别为: {图}
答案 B
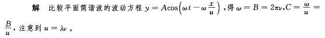
解析

猜你喜欢

发表评论
更多 网友评论0 条评论)
暂无评论

Copyright © 2012-2014 恰考网 Inc. 保留所有权利。 Powered by tikuer.com

页面耗时0.0394秒, 内存占用1.01 MB, Cache:redis,访问数据库20次