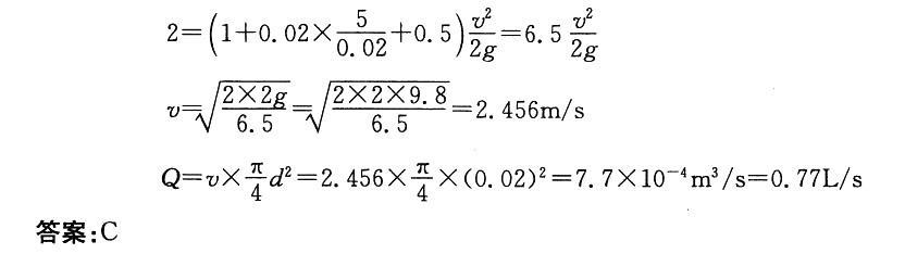
图示直径为20mm、长5m的管道自水池取水并泄入大气中,出口比水池水面低2m,已知沿程水头损失系数λ=0. 02,进口局部水 头损失系数ξ=0.5,则泄流...

作者: rantiku 人气: - 评论: 0
问题 图示直径为20mm、长5m的管道自水池取水并泄入大气中,出口比水池水面低2m,已知沿程水头损失系数λ=0. 02,进口局部水 头损失系数ξ=0.5,则泄流量Q为:
选项 A.0. 88L/s B. 1. 90L/s C. 0.77L/s D.0.39L/s
答案 C
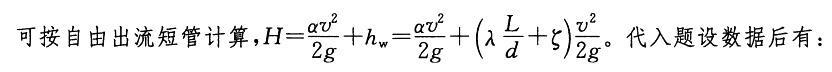
解析

猜你喜欢

发表评论
更多 网友评论0 条评论)
暂无评论

Copyright © 2012-2014 恰考网 Inc. 保留所有权利。 Powered by tikuer.com

页面耗时0.0356秒, 内存占用1.03 MB, Cache:redis,访问数据库19次