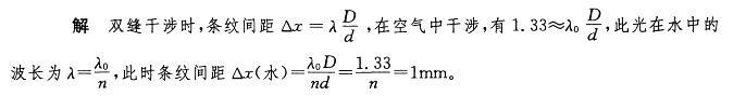
在空气中用波长为λ的单色光进行双缝干涉实验,观测到相邻明条纹的间距为1.33mm,当把实验装置放入水中(水的折射率n=1. 33)时,则相邻明条纹的间距变...

作者: rantiku 人气: - 评论: 0
问题 在空气中用波长为λ的单色光进行双缝干涉实验,观测到相邻明条纹的间距为1.33mm,当把实验装置放入水中(水的折射率n=1. 33)时,则相邻明条纹的间距变为:
选项 A.1.33mm B.2.66mm C. 1mm D. 2mm
答案 C
解析

猜你喜欢

发表评论
更多 网友评论0 条评论)
暂无评论

Copyright © 2012-2014 恰考网 Inc. 保留所有权利。 Powered by tikuer.com

页面耗时0.0300秒, 内存占用1.03 MB, Cache:redis,访问数据库19次