若在迈克尔逊干涉仪的可动反射镜M移动0.620mm过程中,观察到干涉条纹移动了2300条,则所用光波的波长为:A.269nm B.539nm C....

作者: rantiku 人气: - 评论: 0
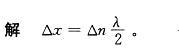
问题 若在迈克尔逊干涉仪的可动反射镜M移动0.620mm过程中,观察到干涉条纹移动了2300条,则所用光波的波长为:
选项 A.269nm B.539nm C.2690nm D.5390nm
答案 B
解析

猜你喜欢

发表评论
更多 网友评论0 条评论)
暂无评论

Copyright © 2012-2014 恰考网 Inc. 保留所有权利。 Powered by tikuer.com

页面耗时0.0395秒, 内存占用1.03 MB, Cache:redis,访问数据库18次