图示溢水堰模型试验,实际流量为Qn= 537m3/s,若在模型上测得流量Qn= 300L/s,则该模型长度比尺为: A.4.5 B. 6 C....

作者: rantiku 人气: - 评论: 0
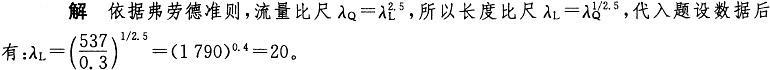
问题 图示溢水堰模型试验,实际流量为Qn= 537m3/s,若在模型上测得流量Qn= 300L/s,则该模型长度比尺为:
选项 A.4.5 B. 6 C.10 D. 20
答案 D
解析

猜你喜欢

发表评论
更多 网友评论0 条评论)
暂无评论

Copyright © 2012-2014 恰考网 Inc. 保留所有权利。 Powered by tikuer.com

页面耗时0.0367秒, 内存占用1.03 MB, Cache:redis,访问数据库18次