一定量的理想气体在进行卡诺循环时,高温热源的温度为500K,低温热源的温度为400K,则该循环的效率为:A.56% B.34% C.80% D...

作者: rantiku 人气: - 评论: 0
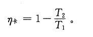
问题 一定量的理想气体在进行卡诺循环时,高温热源的温度为500K,低温热源的温度为400K,则该循环的效率为:
选项 A.56% B.34% C.80% D.20%
答案 D
解析

猜你喜欢

发表评论
更多 网友评论0 条评论)
暂无评论

Copyright © 2012-2014 恰考网 Inc. 保留所有权利。 Powered by tikuer.com

页面耗时0.0477秒, 内存占用1.01 MB, Cache:redis,访问数据库19次