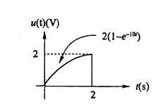
模拟信号u(t)的波形图如图所示,它的时间域描述形式是: A.u(t)=2(1-e-10t) * 1(t) B.u(t)=2(1-e-0.1t) ...

作者: rantiku 人气: - 评论: 0
问题 模拟信号u(t)的波形图如图所示,它的时间域描述形式是:
选项 A.u(t)=2(1-e-10t) * 1(t) B.u(t)=2(1-e-0.1t) * 1(t) C.u(t)=[2(1-e-10t)-2] *1(t) D.u(t)=2(1-e-10t) * 1(t)-2* 1(t-2)
答案 D
解析 此题可以用叠加原理分析,将信号分为一个指数信号和一个阶跃信号的叠加。

猜你喜欢

发表评论
更多 网友评论0 条评论)
暂无评论

Copyright © 2012-2014 恰考网 Inc. 保留所有权利。 Powered by tikuer.com

页面耗时0.0345秒, 内存占用1.03 MB, Cache:redis,访问数据库18次