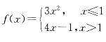
设,则f(x)在点x=1处:A.不连续 B.连续但左、右导数不存在 C.连续但不可导 D.可导

作者: rantiku 人气: - 评论: 0
问题,则f(x)在点x=1处:
选项 A.不连续 B.连续但左、右导数不存在 C.连续但不可导 D.可导
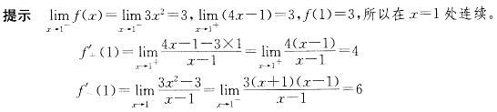
答案 C
解析 所以f(x)在点x=1处连续不可导。

猜你喜欢

发表评论
更多 网友评论0 条评论)
暂无评论

Copyright © 2012-2014 恰考网 Inc. 保留所有权利。 Powered by tikuer.com

页面耗时0.0421秒, 内存占用1.01 MB, Cache:redis,访问数据库19次