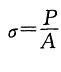
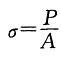
图示拉杆承受轴向拉力P的作用,设斜截面m-m的面积为A,则为:A.横截面上的正应力 B.斜截面上的正应力 C.斜截面上的应力 D.斜截面上的剪应力

作者: rantiku 人气: - 评论: 0
问题 图示拉杆承受轴向拉力P的作用,设斜截面m-m的面积为A,则为:
选项 A.横截面上的正应力 B.斜截面上的正应力 C.斜截面上的应力 D.斜截面上的剪应力
答案 C
解析 由于A是斜截面m-m的面积,轴向拉力P沿斜截面是均匀分布的,所以应为力斜截面上沿轴线方向的总应力,而不是垂直于斜截面的正应力。 答案:C

猜你喜欢

发表评论
更多 网友评论0 条评论)
暂无评论

Copyright © 2012-2014 恰考网 Inc. 保留所有权利。 Powered by tikuer.com

页面耗时0.0666秒, 内存占用1.03 MB, Cache:redis,访问数据库18次