某公司拟向银行贷款100万元,贷款期为3年,甲银行的贷款利率为6%(按季计息),乙银行的贷款利率为7%,该公司向哪家银行贷款付出的利息较少:A.甲银行 ...

作者: rantiku 人气: - 评论: 0
问题 某公司拟向银行贷款100万元,贷款期为3年,甲银行的贷款利率为6%(按季计息),乙银行的贷款利率为7%,该公司向哪家银行贷款付出的利息较少:
选项 A.甲银行 B.乙银行 C.两家银行的利息相等 D.不能确定
答案 A
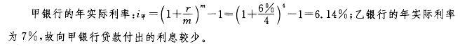
解析 提示 比较两家银行的年实际利率,其中较低者利息较少。

猜你喜欢

发表评论
更多 网友评论0 条评论)
暂无评论

Copyright © 2012-2014 恰考网 Inc. 保留所有权利。 Powered by tikuer.com

页面耗时0.0387秒, 内存占用1.03 MB, Cache:redis,访问数据库18次