—重力大小为W=60kN的物块自由放置在倾角为=30的斜面上,如图所示,若物块与斜面间的静摩擦系数为=0.4,则该物块的状态为: A.静止状态 B...

作者: rantiku 人气: - 评论: 0
问题 —重力大小为W=60kN的物块自由放置在倾角为=30的斜面上,如图所示,若物块与斜面间的静摩擦系数为=0.4,则该物块的状态为:
选项 A.静止状态 B.临界平衡状态 C.滑动状态 D.条件不足,不能确定
答案 C
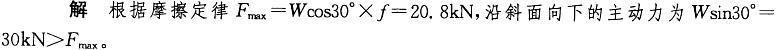
解析

猜你喜欢

发表评论
更多 网友评论0 条评论)
暂无评论

Copyright © 2012-2014 恰考网 Inc. 保留所有权利。 Powered by tikuer.com

页面耗时0.0373秒, 内存占用1.03 MB, Cache:redis,访问数据库20次