如果f(x)在x0可导,g(x)在x0不可导,则f(x)g(x)在x0:A.可能可导也可能不可导 B.不可导 C.可导 D.连续

作者: rantiku 人气: - 评论: 0
问题 如果f(x)在x0可导,g(x)在x0不可导,则f(x)g(x)在x0:
选项 A.可能可导也可能不可导 B.不可导 C.可导 D.连续
答案 A
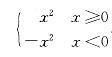
解析 提示 举例说明。 如f(x)=x 在x=0 可导,在x=0 不可导,f(x)g(x)=x x = 通过计算f '+(0) =f '-(0)=0,知f(x)g(x)在x=0可导。 如f(x)=2 在x = 0 可导,g(x) = x 在 x = 0 不可导,f(x) g (x) = 2 x =,通过计算函数f(x)g(x)的右导为2,左导为-2,可知f(x)g(x)在x = 0不可导。

猜你喜欢

发表评论
更多 网友评论0 条评论)
暂无评论

Copyright © 2012-2014 恰考网 Inc. 保留所有权利。 Powered by tikuer.com

页面耗时0.0371秒, 内存占用1.03 MB, Cache:redis,访问数据库20次