明渠均勻流的流量一定,当渠道断面形状、尺寸和壁面粗糙程度一定时,正常水深随底坡增大而:A.增大 B.减小 C.不变 D.不确定

作者: rantiku 人气: - 评论: 0
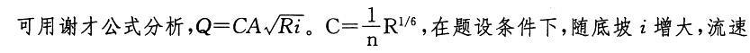
问题 明渠均勻流的流量一定,当渠道断面形状、尺寸和壁面粗糙程度一定时,正常水深随底坡增大而:
选项 A.增大 B.减小 C.不变 D.不确定
答案 B
解析 增大,水深应减小。

猜你喜欢

发表评论
更多 网友评论0 条评论)
暂无评论

Copyright © 2012-2014 恰考网 Inc. 保留所有权利。 Powered by tikuer.com

页面耗时0.0353秒, 内存占用1.01 MB, Cache:redis,访问数据库19次