植树节到了,学校组织学生进行植树比赛。其路线为从学校门口到一食堂的540米的路上双边种植,要求学校门口栽树,食堂处不栽,树木之间的间隔为2米、1米交替进行...

作者: rantiku 人气: - 评论: 0
问题 植树节到了,学校组织学生进行植树比赛。其路线为从学校门口到一食堂的540米的路上双边种植,要求学校门口栽树,食堂处不栽,树木之间的间隔为2米、1米交替进行,面积为7850平方米圆形操场环形种植树木之间的间隔为2米,一共需要多少棵树苗?( ) A. 76 B. 877 C. 878 D. 879
选项
答案 B
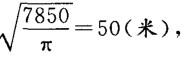
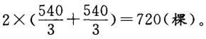
解析 此题分段计算,首先,从学校门口到一食堂的540米的路上需要间隔为2 米、1米交替进行种植,可以看成先进行3米间隔种植,然后在将3米间隔中插入一棵树使之间隔为2米、1米交替,由此可得所需的树苗为其次,圆形操场的半径为所以周长为2πr=2X3.14×50 = 314(米),需要的树苗为314÷2 = 157(棵),最终需要总树苗棵树为720 + 157 = 877(棵)。所以选项为B。

猜你喜欢

发表评论
更多 网友评论0 条评论)
暂无评论

访问排行

Copyright © 2012-2014 恰考网 Inc. 保留所有权利。 Powered by tikuer.com

页面耗时0.0313秒, 内存占用1.03 MB, Cache:redis,访问数据库19次