从一瓶浓度为20%的消毒液中倒出2/5后,加满清水,再倒出2/5,又加满清水,此时消毒液的浓度为()。A.7.2% B.3.2% C.5.0% D.4.8%

作者: rantiku 人气: - 评论: 0
问题 从一瓶浓度为20%的消毒液中倒出2/5后,加满清水,再倒出2/5,又加满清水,此时消毒液的浓度为()。 A.7.2% B.3.2% C.5.0% D.4.8%
选项
答案 A
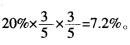
解析 每一次稀释,溶质的量都变为原来的 ,而溶液的量不变,则浓度也变为原来的3/5,因此最后的浓度为

猜你喜欢

发表评论
更多 网友评论0 条评论)
暂无评论
错误啦!

错误信息

  • 消息: [程序异常] : MISCONF Redis is configured to save RDB snapshots, but it's currently unable to persist to disk. Commands that may modify the data set are disabled, because this instance is configured to report errors during writes if RDB snapshotting fails (stop-writes-on-bgsave-error option). Please check the Redis logs for details about the RDB error.
  • 文件: /twcms/kongphp/cache/cache_redis.class.php
  • 位置: 第 85 行
    <?php echo 'KongPHP, Road to Jane.'; ?>