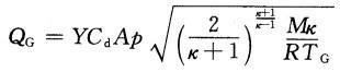
泄漏量计算中,气体泄漏速度公式可表示为()。A:B:C:D:

作者: rantiku 人气: - 评论: 0
问题 泄漏量计算中,气体泄漏速度公式可表示为()。
选项 A: B: C: D:
答案 A
解析 B项为热量蒸发速度计算公式;C项为液体泄漏速度计算公式;D项为两相流泄漏速度计算公式。

猜你喜欢

发表评论
更多 网友评论0 条评论)
暂无评论

访问排行

Copyright © 2012-2014 恰考网 Inc. 保留所有权利。 Powered by tikuer.com

页面耗时0.0353秒, 内存占用1.03 MB, Cache:redis,访问数据库19次