两个排气筒高度分别为 24m及30m ,距离为 50m,排气筒的污染物排放速率分别为 0.44 kg/h及 2.56kg/h ,则等效排气筒的高度是( )...

作者: rantiku 人气: - 评论: 0
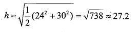
问题 两个排气筒高度分别为 24m及30m ,距离为 50m,排气筒的污染物排放速率分别为 0.44 kg/h及 2.56kg/h ,则等效排气筒的高度是( )。
选项 A. 28.7 B. 30 C. 27.2 D. 24
答案 C
解析

猜你喜欢

发表评论
更多 网友评论0 条评论)
暂无评论

访问排行

Copyright © 2012-2014 恰考网 Inc. 保留所有权利。 Powered by tikuer.com

页面耗时0.0588秒, 内存占用1.03 MB, Cache:redis,访问数据库20次