某药厂厂房五台机器,声压级分别为80dB、84dB、85dB、87dB、89dB,则这五台机器同时运行时的声压级是()。A:88dBB:92.93dB...

作者: rantiku 人气: - 评论: 0
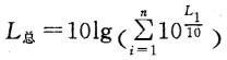
问题 某药厂厂房五台机器,声压级分别为80dB、84dB、85dB、87dB、89dB,则这五台机器同时运行时的声压级是()。
选项 A:88dB B:92.93dB C:90.12dB D:93dB
答案 B
解析 根据几个声压级相加的通用式(式中:L为几个声压级相加后的总声压级,dB;Li为某一个声压级,dB),则这五台机器同时运行时的声压级L=10lg(1080/10+1084/10+1085/10+1087/10+1089/10)≈92.93(dB)。

猜你喜欢

发表评论
更多 网友评论0 条评论)
暂无评论

访问排行

Copyright © 2012-2014 恰考网 Inc. 保留所有权利。 Powered by tikuer.com

页面耗时0.0403秒, 内存占用1.03 MB, Cache:redis,访问数据库18次