用两点法估算BOD衰减系数K1,已知河段初始点和末端点的平均BOD5分别为31mg/L和17.3mg/L,河水平均流速1km/d,河段长度3km,BOD衰...

作者: rantiku 人气: - 评论: 0
问题 用两点法估算BOD衰减系数K1,已知河段初始点和末端点的平均BOD5分别为31mg/L和17.3mg/L,河水平均流速1km/d,河段长度3km,BOD衰减系数K1是()。
选项 A:1d-1 B:0.194d-1 C:1.5d-1 D:2.203d-1
答案 B
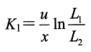
解析 用两点法估算BOD衰减系数K1的公式:式中:K1——BOD衰减系数,d-1;L1,L2——河段初始点和末端点的平均BOD5;x——河段长度,km;u——河水平均流速,km/d。

猜你喜欢

发表评论
更多 网友评论0 条评论)
暂无评论

访问排行

Copyright © 2012-2014 恰考网 Inc. 保留所有权利。 Powered by tikuer.com

页面耗时0.0535秒, 内存占用1.03 MB, Cache:redis,访问数据库19次