用一维稳态水质模型预测河流中的氨氮浓度分布,需要的基础数据包括()。A.河流过水断面面积 B.污水排放量、氨氮排放浓度C.氨氮一阶动力学反应速率 ...

作者: rantiku 人气: - 评论: 0
问题 用一维稳态水质模型预测河流中的氨氮浓度分布,需要的基础数据包括()。 A.河流过水断面面积 B.污水排放量、氨氮排放浓度 C.氨氮一阶动力学反应速率 D.河流流量、河流氨氮背景浓度
选项
答案 ABCD
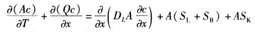
解析 预测河流中暗淡浓度需要河流的水的流速,通过河流过水断面面积可以得知湿周、水力半径,求出水流流速。对于溶解态污染物,当污染物在河流横向方向上达到完全混合后,描述污染物的输移、转化的微分方程为:式中,4表示河流横断面面积;表示河流流量;Q表示水质组分浓度;DL表示综合的纵向离散系数;表示直接的点源或非点源强度;SB表示上游区域进入的源强;SK表示动力学转化率,正为源,负为汇。

猜你喜欢

发表评论
更多 网友评论0 条评论)
暂无评论

访问排行

Copyright © 2012-2014 恰考网 Inc. 保留所有权利。 Powered by tikuer.com

页面耗时0.0308秒, 内存占用1.03 MB, Cache:redis,访问数据库18次