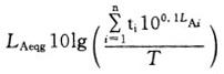
某测点一小时内测得的声级及持续时间见下表,该测点的小时等效声级为()。A86dB(A)B83dB(A)C78dB(A)D75dB(A)

作者: rantiku 人气: - 评论: 0
问题 某测点一小时内测得的声级及持续时间见下表,该测点的小时等效声级为()。
选项 A86dB(A) B83dB(A) C78dB(A) D75dB(A)
答案 C
解析 根据声源在预测点产生的等效连续A声级贡献值的公式,式中:T为预测计算的总时间,ti为各声源的发声持续时间。LAeqg=10lg[(10*100.1*83+10*100.1*80+10*100.1*77+10*100.1*74+20*100.1*71)/60]≈78[dB(A)]。

猜你喜欢

发表评论
更多 网友评论0 条评论)
暂无评论

访问排行

Copyright © 2012-2014 恰考网 Inc. 保留所有权利。 Powered by tikuer.com

页面耗时0.0277秒, 内存占用1.03 MB, Cache:redis,访问数据库17次