应用一维潮平均水质解析模式预测非持久性污染物河口浓度分布,所需的数据及参数有()。A潮平均流量或流速B潮平均纵向离散系数C一阶衰减系数D横向混合系数

作者: rantiku 人气: - 评论: 0
问题 应用一维潮平均水质解析模式预测非持久性污染物河口浓度分布,所需的数据及参数有()。
选项 A潮平均流量或流速 B潮平均纵向离散系数 C一阶衰减系数 D横向混合系数
答案 AB
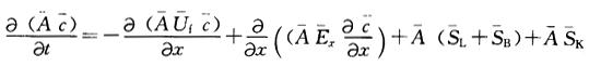
解析 一维潮平均水质解析模式为,式中:t表示潮汐周期时间;Uf表示潮平均净流量;上标“-”表示潮平均值;Ex为潮平均等效纵向离散系数。因此,当用一维潮平均水质解析模式预测非持久性污染物河口浓度分布,所需的数据及参数有潮平均流量和潮平均纵向离散系数。

猜你喜欢

发表评论
更多 网友评论0 条评论)
暂无评论

访问排行

Copyright © 2012-2014 恰考网 Inc. 保留所有权利。 Powered by tikuer.com

页面耗时0.0383秒, 内存占用1.03 MB, Cache:redis,访问数据库20次