作者: tihaiku 人气: - 评论: 0
问题

【素材】

某纸厂位于长江下游,现有一个制浆车间,4个抄纸车间,一个热电车间,一个碱回收车间和配套的公用、储运、环保工程,生活区等。制浆车间有3万t/a化学麦草浆生产线一条,抄纸车间有长网纸机8台、机制纸产量5万t/a,热电车间有3台35t/h链条炉配9 MW抽凝式汽轮机,碱回收车间有150 t/d碱回收炉一座。根据地区总量分配指标,该厂20 1 2年排放总量指标为SO2 1 000 t/a、NOx 1 200 t/a、COD 2 200 t/a、氨氮200 t/a。该厂现有总量排放量为SO2 1 989 t/a、NOx 1 976 t/a、COD 2 200t/a,氨氮600 t/a。该纸厂拟通过技改淘汰现有麦草浆生产线,新建60万t/a硫酸盐化学浆和配套400万亩林基地。新建制浆项目依托原厂建设于长江边,该项目主要包括备料、化浆和浆板车间等工艺生产车间,碱回收车间、热电站、化学品制备厂、空压站、机修、白水回收、堆场及仓库等辅助生产车间,及给水站、污水处理站、配电站、消防、场内外运输、油库、办公楼及职工生活区等公用工程,污水处理站、灰渣场等环保工程,年运行天数3 3 0天、7 920 h。年运行综合能耗(标煤)498 kg。碱回收车间日处理黑液1 5 000 t、固形物2 400 t,碱回收率98%,碱自给率100%,520 t/h碱炉为低臭性碱炉,烟气经静电除尘后经100 m烟囱排放,烟气量6.5*105 m3/h、粉尘浓度50m g/m3.SO2,浓度100 mg/m3.NOx浓度150 mg/m3、TRS(以H2S表示)12 mgS/m3;白泥回收石灰窑烟气经静电除尘后经60 m烟囱排放,烟气量5.0*104 m3/h,、粉尘浓度50 mg/m3.SO2浓度100 mg/m3.NOx浓度200 mg/m3.TRS(以H2S表示)6 mgS/m3 .热电厂拟建220 t/h燃煤循环流化床锅炉一台,配37 MW*3(2用1备)双抽-冷凝汽轮发电机组,年平均热电比280%、年平均总热效率55%,锅炉烟气经电袋除尘和湿法脱硫后经100m烟囱排放,烟气量2.4*105 m3/h、粉尘浓度20 mg/m3.SO2浓度60 mg/m3. NOx浓度300 mg/m3,灰渣100%综合利用并同步建设事故周转灰场。项目平均用水量80 000 m3/d,平均排水量73 000 m3/d,经处理后排长江,设计排水水质为COD 90 mg/L、氨氮8 mg/L,排污口位于长江岸边,排污口附近河宽480 m,平均流速0.3 m/s、平均水深7m,坡度0.001 。该项目拟建400万亩林基地,包括桉树林、相思树林、松树林。其中改造现有林地200万亩,新造浆纸林200万亩,林基地项目区最长长度为40km,项目区内有水源涵养功能区2个,生物多样性保护功能区3个,土壤保持功能区3个。项目林基部分位于以上生物多样性保护功能区。新造浆纸林分布在海拔500 m以下、坡度小于25 °的宜林地,整地采用机械带全垦,挖大穴,施基肥,造林方式采用树种多样性、空间多样性混交造林。年产60万t硫酸盐化学浆,年需原木246万m3,该项目400万亩林基地年提供木材400万m3,按出材率70%、保证率90%考虑,可满足纸浆的原料需求。

【问题】

1.该项目建设是否符合产业政策?请说明理由。

2.该项目林基地生态影响评价应为几级?其生态影响评价应包括哪些主要内容?(生态影响导则判据见附1)

3.请计算该项目排污口下游混合过程段长度。

4.请核算该项目主要污染物排放总量,并判断是否符合总量控制要求。为满足总量控制要求,应采取何种措施?

附1:《环境影响评价技术导则—生态影响》(HJ 19-2011)表1。


选项

1.答:该项目建设符合产业政策。理由如下:(1)根据发改委令第9号《产业结构调整指导目录(20 1 1年本)》,“单条化学木浆3 0万吨/年及以上……的林纸一体化生产线及相应配套的纸及纸板生产线(新闻纸、铜版纸除外)建设”属于鼓励类项目,“单条3.4万吨/年以下的非木浆生产线”属于淘汰类项目。该项目淘汰现有3万t/a化学麦草浆生产线,新建60万t/a硫酸盐化学浆,满足上述造纸产业政策要求。(2)根据发改委令第9号《产业结构调整指导目录(20 1 1年本)》,“3 0万千瓦及以下常规燃煤火力发电设备制造项目(综合利用、热电联产机组除外)”属于限制类,而该项目为单机容量在3 0万千瓦以下的常规热电联产机组,属于允许类。按照《关于发展热电联产的规定》:热电比年平均应大于100%;总热效率年平均大于45%;热电厂、热力网、粉煤灰综合利用项目应同时审批、同步建设、同步验收投入使用。该项目:热电比年平均为280%,总热效率年平均55%,灰渣100%综合利用并同步建设事故周转灰场。故符合热电联产产业政策。

2.答:该项目林基地项目区最长长度为40 km<50 km,但拟建400万亩林基地,合2 667 km2,大于20 km2;项目区内有水源涵养、生物多样性保护、土壤保持等重要生态敏感区,且项目林基地部分位于以上生态功能调节区。根据表1判据,该项目林基地生态影响评价应为一级。该项目林基地生态环境影响评价主要应包括如下几部分内容:(1)论证原料林基地占用土地的合法性与合理性:林基地建设用地应符合《全国重点地区速生丰产用材林基地建设工程规划》《全国林纸一体化工程建设“十五”及20 1 0年专项规划》,并用叠图法论证项目建设符合原料林基地所在地区的林浆纸一体化产业发展规划、土地利用规划、水土保持规划、生态保护规划、自然保护区规划、退耕还林规划等,避免在基本农田、水源涵养地、自然保护区、特殊用途林、坡度25 °以上地区造林。(2)论证原料林基地生态环境影响:通过分析影响作用的方式、范围、强度和持续时间来判别生态系统受影响的范围、强度和持续时间;评价论证大面积林基地建设引起的植物种类、树种结构、森林植物群落变化,分析其对土地利用结构、生态系统稳定性、生物多样性保护、水源涵养、水土流失和水土保持、土壤退化和土壤生态环境、地下水环境外来生物入侵、生态敏感区、景观生态环境等的影响途径、影响方式、影响范围、影响强度和持续时间,预测生态系统组成和服务功能的变化趋势和潜在的后果。分析单一树种引发的病虫害、施肥及农药面源污染等方面的生态环境风险影响。还应包括林区公路建设的生态环境影响分析。(3)论证原料林基地的供材保证率:根据原料林季度的立地条件,通过代表性样方调查数据,估算不同立地条件下林木生长量和出材率,分析原料林基地的供材保证率,分析原料供给不足可能带来的生态环境风险。

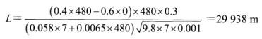
3.答:根据题目中有关参数,计算混合过程段长度为29 938 m,计算过程如下:

4.答:该项目淘汰原有生产线,即污染物排放总量来自于新建60万t/a硫酸盐化学浆项目,其中:SO2排放总量为:(200*6.5*10m5+100*5.0*10m4+60*2.4*10m5)*7 920÷1 000 000 000=668.448 t/aNOx排放总量为:(150*6.5*10m5+200*5.0*10m4+300*2.4*10m5)*7 920÷1 000 000 000=1 421.64 t/aCOD排放总量为:90*73 000*330/1 000 000 =2 168.1 t/a氨氮排放总量为:8*73 000*330/1 000 000=192.72 t/a根据地区总量分配指标,该厂20 1 2年总量指标为SO2 1 000 t/a. NOx 1 200 t/a、COD 2 200 t/a;新建60万t/a硫酸盐化学浆项目排放总量SO2 668.448 t/a<1 000 t/a,COD 2 168.1 t/a<2 200 t/a,氨氮192.72t/a<200 t/a,但NOx1 421.64 t/a>1 200 t/a,故不满足总量控制要求。满足总量控制要求,应增加热电锅炉烟气脱硝措施。

答案
解析

1.《环境影响评价案例分析》考试大纲中“一、相关法律法规运用和政策、规划的符合性分析(2)分析建设项目与相关环境保护政策及产业政策的符合性”。举一反三:项目是否符合相关产业政策是环评必须要回答的问题,林纸一体化项目的产业政策涉及的类型比较多,主要内容包括:产业结构调整指导目录、造纸产业发展政策和热电联产产业政策等。当前国家对节能减排高度重视,各行业环保准入要求不断提高,要注意跟踪了解最新的产业政策要求。其中,部分造纸产业政策如下:(1)鼓励类:①单条化学木浆3 0万t/a及以上、化学机械木浆1 0万t/a及以上、化学竹浆1 0万t/a及以上的林纸一体化生产线及相应配套的纸及纸板生产线(新闻纸、铜版纸除外)建设;采用清洁生产工艺、以非木纤维为原料、单条1 0万t/a及以上的纸浆生产线建设。②无元素氯(ECF)和全无氯(TCF)化学纸浆漂白工艺开发及应用。(2)限制类:①新建单条化学木浆30万t/a以下、化学机械木浆1 0万t/a以下、化学竹浆1 0万t/a以下的生产线;新闻纸、铜版纸生产线。②元素氯漂白制浆工艺。(3)淘汰类:①5.1万t/a以下的化学木浆生产线。②单条3.4万t/a以下的非木浆生产线。③单条1万t/a及以下、以废纸为原料的制浆生产线。④幅宽在1.76 m及以下并且车速为120 m/min以下的文化纸生产线。⑤幅宽在2m及以下并且车速为80 m/min以下的白板纸、箱板纸及瓦楞纸生产线。

2.《环境影响评价案例分析》考试大纲中“四、环境影响识别、预测与评价(4)确定评价工作等级、评价范围及各环境要素的环境保护要求(8)预测和评价环境影响(含非正常工况)”。 举一反三:20 1 1年新颁布了《环境影响评价技术导则生态影响》(HJ 19-2011),调整了评价工作等级的划分标准,规范和系统化了工程生态影响分析 容,并增加了生态影响预测内容和基本方法。有关规定如下:4.2评价工作分级4.2.1依据影响区域的生态敏感性和评价项目的工程占地(含水域)范围,包括永久占地和临时占地,将生态影响评价工作等级划分为一级、二级和三级,如表1所示。位于原厂界(或永久用地)范围内的工业类改扩建项目,可做生态影响分析。4.2.2当工程占地(含水域)范围的面积或长度分别属于两个不同评价工作等级时,原则上应按其中较高的评价工作等级进行评价。改扩建工程的工程占地范围以新增占地(含水域)面积或长度计算。4.2.3在矿山开采可能导致矿区土地利用类型明显改变,或拦河闸坝建设可能明显改变水文情势等情况下,评价工作等级应上调一级。……7生态影响预测与评价7.1生态影响预测与评价内容生态影响预测与评价内容应与现状评价内容相对应,依据区域生态保护的需要和受影响生态系统的主导生态功能选择评价预测指标。a)评价工作范围内涉及的生态系统及其主要生态因子的影响评价。通过分析影响作用的方式、范围、强度和持续时间来判别生态系统受影响的范围、强度和持续时间;预测生态系统组成和服务功能的变化趋势,重点关注其中的不利影响、不可逆影响和累积生态影响。b)敏感生态保护目标的影响评价应在明确保护目标的性质、特点、法律地位和保护要求的情况下,分析评价项目的影响途径、影响方式和影响程度,预测潜在的后果。c)预测评价项目对区域现存主要生态问题的影响趋势。7.2生态影响预测与评价方法生态影响预测与评价方法应根据评价对象的生态学特性,在调查、判定该区主要的、辅助的生态功能以及完成功能必需的生态过程的基础上,分别采用定量分析与定性分析相结合的方法进行预测与评价。常用的方法包括列表清单法、图形叠置法、生态机理分析法、景观生态学法、指数法与综合指数法、类比分析法、系统分析法和生物多样性评价等,可参见附录C。

3.《环境影响评价案例分析》考试大纲中“四、环境影响识别、预测与评价(7)选择、运用预测模式与评价方法”。举一反三:预测范围内的河段可以分为充分混合段、混合过程段和上游河段。充分混合段是指污染物浓度在断面上均匀分布的河段。当断面上任意一点的浓度与断面平均浓度之差小于平均浓度的5%时,可以认为达到均匀分布。混合过程段是指排放口下游达到充分混合以前的河段。上游河段是排放口上游的河段。混合过程段的长度可由下式估算:

注意式中参数的含义:L——混合过程段长度,m;B——河流宽度,m;a——排放口距近岸边距离,m;u——河流断面平均流速,m/s:H——平均水深,m;g——重力加速度,9.8m/s;Z——河流底坡坡度。在利用数学模式预测河流水质时,充分混合段采用一维模式或零维模式预测断面平均水质。当排污口位于大、中河流,评价等级为一、二级,且排放口下游3~5 km以内有集中取水点或其他特别重要的环保目标时,应采用二维模式(或弗-罗模式)预测混合过程段水质。其他情况可根据工程、环境特点评价工作等级及当地环保要求,决定是否采用二维模式。

4.《环境影响评价案例分析》考试大纲中“六、环境保护措施分析(4)分析污染物排放总量情况”。举一反三:该项目涉及目前国家节能减排的大趋势。总量控制指标要采用最新的“十二五”总量分配指标,技改项目应在采取“以新带老”措施后满足上述总量控制指标。环发[2006]189号“关于印发《主要水污染物总量分配指导意见》的通知”和环发[2006]182号“关于印发《二氧化硫总量分配指导意见》的通知”对总量控制指标的计算提出了新的要求,建议认真研究其具体计算方法。国发[2011]26号“国务院关于印发‘十二五’节能减排综合性工作方案的通知”要求“20 1 5年,……全国氨氮和氮氧化物排放总量分别控制在238.0万吨、2 046.2万吨,比20 1 0年的264.4万吨、2 273.6万吨分别下降10%。”“十二五”新增了氨氮和氮氧化物排放总量的控制要求,需要特别注意。

相关内容:

猜你喜欢

发表评论
更多 网友评论0 条评论)
暂无评论

访问排行

Copyright © 2012-2014 恰考网 Inc. 保留所有权利。 Powered by tikuer.com

页面耗时0.0411秒, 内存占用1.06 MB, Cache:redis,访问数据库19次