新建汽车制造项目 【素材】 汽车有限公司拟新建一条汽车生产线,工程总投资40亿元人民币,建成后将具备1 5万辆/年的整车生产能力。厂区位于某开发区内,...

作者: tihaiku 人气: - 评论: 0
问题

新建汽车制造项目

【素材】

汽车有限公司拟新建一条汽车生产线,工程总投资40亿元人民币,建成后将具备1 5万辆/年的整车生产能力。厂区位于某开发区内,地形简单,场地基础土层为连续分布的棕黄色粉土,厚度约2m,渗透系数2.4*10-5cm/s,其下为砂、砾卵石层,厚约10m,为该区域主要含水层,但不作为饮用水源。调查表明项目附近区域无村民自建饮用水井。本项目位于环境空气质量功能二类区,距市中心约1 8km。主要工程内容包括:涂装车间、总装车间、焊装车间、冲压车间等主体工程,以及配套的公用动力、仓库、物流区、办公楼等辅助工程,在新建的涂装车间内还设有烘干炉废气焚烧设施、涂装废水处理设施。拟建工程废气主要来源于涂装车间有机废气和焊装车间焊接粉尘。涂装车间内,烘干室废气经焚烧处理,喷漆室废气经水旋捕集除漆雾,涂装车间处理后的有机废气采用55 m高排气筒集中排放,废气量约150万m3/h,废气中主要污染物为二甲苯,排放浓度10 mg/m3;涂装车间面积30 000 m2,有部分二甲苯无组织排放,排放量0.6 kg/h 。焊装车间焊接废气经布袋除尘器过滤净化处理后由15 m高排气筒排出室外,废气量约80万m3/h.CO浓度约3 mg/m3,粉尘浓度约1.8 mg/m3。项目所在开发区有集中污水处理厂收集处理园区内工业和生活污水。本项目生产工艺废水主要来自涂装车间,包括脱脂清洗废水、磷化清洗废水、电泳清洗废水和喷漆废水,排放量约710 m3/d;经涂装车间预处理后,涂装车间排水中COD约100 mg/L,BOD5约20 mg/L,SS约45 mg/L,石油类浓度约1.5 mg/L,总镍浓度约1.1 mg/L,六价铬浓度约0.4 mg/L 。其他工艺废水约135 m3/d,COD约80 mg/L,石油类浓度约1.5 mg/L。生活污水约220 m3/d,COD约350 mg/L,BOD5约280 mg/L,SS约250 mg/L 。上述预处理后的涂装废水与其他工艺废水、生活污水混合,通过市政管网进入开发区污水处理厂,处理达标后排入湖泊。受纳湖泊主要功能为工业、航运、距厂区约200 m,与厂区地下水水力联系较密切。设备冷却水采用循环水系统,焊装车间焊机冷却水站、制冷站、空压站及扩建冲压车间循环水系统因工艺需要而溢流出来的循环冷却水,排放量约为1 034 m3/d,其中基本无污染物,直接排入雨水管网。项目水平衡图见附2。

【问题】

1.判定该项目地下水评价等级,并给出判定依据。(说明:地下水导则判据见附1)

2.该项目排入开发区污水处理厂的废水水质执行污水综合排放标准三级标准(COD500 mg/L、BOD 300 mg/L、SS 400 mg/L、石油类20 mg/L、总镍1.0 mg/L、六价铬0.5 mg/L),请评价该项目废水是否达标排放。为确保该项目污水达标排放,主要应监控哪些污染因子?请给出监测点位建议。

3.根据《制定地方大气污染物排放标准的技术方法》(GB/T 13201-91)中的公式计算出该项目二甲苯卫生防护距离为533 m,请确定该项目厂区的卫生防护距离。

4.根据附2中该项目水平衡图,计算项目工艺水回用率、间接冷却水循环率、全厂水重复利用率。

5.根据附3中《大气污染物综合排放标准》,计算该项目二甲苯最高允许排放速率(kg/h),并分析该项目二甲苯有组织排放是否满足排放标准要求。

附1:《环境影响评价技术导则—地下水环境》(HJ 610-2011)表1~表6 。

附3:《大气污染物综合排放标准》( GB 16297-1996)表7(节选)。

选项

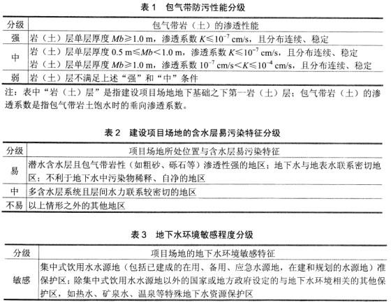
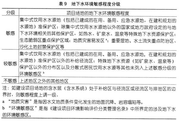
1.答:根据《环境影响评价技术导则一地下水环境》(HJ 610-2011),本项目属于可能造成地下水水质污染的建设项目。根据评价工作分级划定办法,该项目地下水评价等级为二级,具体判定依据如下:(1)场地基础土层为连续分布的棕黄色粉土,厚度约2m,渗透系数2.4*1 0-5cm/s,满足附1表1中“岩(土)层单层厚度Mb≥1.0 m,渗透系数10-7cm/s <K≤10-4cm/S,且分布连续、稳定”的规定,包气带防污性能为“中”;(2)受纳湖泊与厂区地下水水力联系较密切,属于附1表2中“地下水与地表水联系密切地区”,项目场地含水层易污染特征为“易”;(3)项目区地下水不作为饮用水水源,受纳湖泊主要功能为工业、航运,也没有饮用功能,地下水环境敏感程度属于附1表3中“不敏感”;(4)涂装车间排放量约71 0 m3/d、其他工艺废水约135m3/d、生活污水约220 m3/d,项目污水排放总量1 065 m3/d,项目污水排放强度属于附1表4中“中”;(5)项目排水中含重金属污染物(镍、铬等重金属)和常规污染物(B0D5、石油类等),污染物类型数为2,需预测的水质指标<6,污水水质复杂程度属子附1表5中“中等”;(6)根据附1表6,本项目属于“除了一级和三级以外的其他组合”,故该项目地下水评价等级为二级。

2.答:各污染物在不同排放点的排放浓度见表8:

从计算结果看,总排口各污染物排放浓度均小于标准值,似乎做到了达标排放,但因为总镍和六价铬属于第一类污染物,在车间或车间处理设施排放口采样,其中车间排放口浓度标准为:总镍1.0 mg/L、六价铬0.5 mg/L 。该项目中涂装车间预处理后排水中总镍浓度约1.1 mg/L、超过标准1.0 mg/L的要求,故该项目废水实际上没有达标排放。为确保该项目污水达标排放,对COD、BOD5、SS、石油类、镍、六价铬等污染因子均需进行监控。其中镍、六价铬必须在涂装车间预处理后设监测点进行监测,以确保车间口达标;其余的COD、BOD5、SS、石油类等因子可仅在总排口设监测点进行监测;为了解涂装车间预处理效果,也可在涂装车间预处理前后分别设监测点位对各污染因子进行检测,以确定处理效率。

3.答:根据《制定地方大气污染物排放标准的技术方法》( GB/T 13201-91)中7.3条的规定:卫生防护距离在100 m以内时,级差为50 m;超过100 m,但小于或等于1 000 m时,级差为100 m;超过1 000 m,级差为200 m。本项目按公式计算出二甲苯卫生防护距离为533 m,级差为100 m,无组织排放二甲苯卫生防护距离应取600 m。

4.答:工艺水回用=440+50=490 m3/d工艺水取水量=1 100+150=1 250 m3/d间接冷却水循环量=9 900+13 100+112 600+1 720+3 650=140 970 m3/d间接冷却取水量=330+440+2 870+60+200 =3 900 m3/d(1)工艺水回用率=100%*工艺水回用量/工艺水用水量=100%*工艺水回用量/(工艺水取水量+工艺水回用量)=100%*490/(12 50+490)=28.16%(2)间接冷却水循环率=100%*间接冷却水循环量/间接冷却水用水量= 100%*间接冷却水循环量/(间接冷却取水量+间接冷却水循环量)= 100%*140 970/(3 900+140 970)=9 7.31%(3)全厂水重复利用率=100%*全厂水重复利用量/全厂用水量= 100%*全厂水重复利用量/(全厂取水量+全厂水重复利用量)= 100%*(工艺水回用量+间接冷却水循环量)/(全厂取水量+工艺水回用量+间接冷却水循环量)=100%*(490+140 970)/(55 75+490+140 970)= 96.21%

5.答:该项目位于环境空气质量功能二类区,应执行《大气污染物综合排放标准》( GB 16297-1996)二级排放标准:二甲苯最高允许排放浓度为70 mg/m3;因排气筒高度55 m,高于表2所列排气筒高度的最高值40 m,用外推法计算其最高允许排放速率:项目排气筒的最高允许排放速率=表列排气筒最高高度对应的最高允许排放速率*(排气筒的高度/表列排气筒的最高高度)2= 10*(55/40)2= 18.91 kg/h。该项目涂装车间二甲苯有组织排放废气量1 50万m3/h,排放浓度10 mg/m3,小于标准要求的70 mg/m3,计算其排放速率为1 0*1 500 000/1 000 000=15 kg/h,小于标准要求的18.91 kg/h,故该项目二甲苯有组织排放可满足二级排放标准要求。

答案
解析

1.《环境影响评价案例分析》考试大纲中“四、环境影响识别、预测与评价(4)确定评价工作等级、评价范围及各环境要素的环境保护要求”。举一反三:20 1 1年新发布了《环境影响评价技术导则—地下水环境》(HJ 610-2011),注意该导则规定对建设项目分类进行评价等级判定,其中Ⅰ类项目评价等级判定有关规定如本题附1所示,建设项目分类和II类项目评价等级判定有关规定如下:4.1建设项目分类根据建设项目对地下水环境影响的特征,将建设项目分为以下三类:Ⅰ类:指在项目建设、生产运行和服务期满后的各个过程中,可能造成地下水水质污染的建设项目:Ⅱ类:指在项目建设、生产运行和服务期满后的各个过程中,可能引起地下水流场或地下水水位变化,并导致环境水文地质问题的建设项目:Ⅲ类:指同时具备Ⅰ类和Ⅱ类建设项目环境影响特征的建设项目。根据不同类型建设项目对地下水环境影响程度与范围的大小,将地下水环境影响评价工作分为一、二、三级。具体分级的原则与判据见第6章。……6.1 划分原则Ⅰ类和Ⅱ类建设项目,分别根据其对地下水环境的影响类型、建设项目所处区域的环境特征及其环境影响程度划定评价工作等级。Ⅲ类建设项目应根据建设项目所具有的Ⅰ类和Ⅱ类特征分别进行地下水环境影响评价工作等级划分,并按所划定的最高工作等级开展评价工作。6.3Ⅱ类建设项目工作等级划分6.3.1划分依据6.3.1.1 Ⅱ类建设项目地下水环境影响评价工作等级的划分,应根据建设项目地下水供、排水(或注水)规模、引起的地下水水位变化范围、建设项目场地的地下水环境敏感程度以及可能造成的环境水文地质问题的大小等条件确定。6.3.1.2建设项目供水、排水(或注水)规模建设项目地下水供水、排水(或注水)规模按水量的多少可分为大、中、小三级,分级标准见表7。

6.3.1.3建设项目引起的地下水水位变化区域范围

建设项目引起的地下水水位变化区域范围可用影响半径来表示,分为大、中、小三级,分

级标准见表8。影响半径的确定方法可参见附录C。

6.3.1.4建设项目场地的地下水环境敏感程度

建设项目场地的地下水环境敏感程度可分为敏感、较敏感、不敏感三级,分级原则见表9。

6.3.1.5建设项目造成的环境水文地质问题

建设项目造成的环境水文地质问题包括:区域地下水水位下降产生的土地次生荒漠化、地面沉降、地裂缝、岩溶塌陷、海水入侵、湿地退化等,以及灌溉导致局部地下水位上升产生的土壤次生盐渍化、次生沼泽化等,按其影响程度大小可分为强、中等、弱三级,分级原则见表1 0。

6.3.2Ⅱ类建设项目评价工作等级Ⅱ类建设项目地下水环境影响评价工作等级的划分见表1 1。

2.《环境影响评价案例分析》考试大纲中“六、环境保护措施分析(1)分析污染物达标排放情况;(5)制订环境管理与监测计划”。举一反三:《污水综合排放标准》( GB 89-78-1996)规定:4.2.1本标准将排放的污染物按其性质及控制方式分为两类。4.2.1.1第一类污染物:不分行业和污水排放方式,也不分受纳水体的功能类别,一律在车间或车间处理设施排放口采样,其最高允许排放浓度必须达到本标准要求(采矿行业的尾矿坝出水口不得视为车间排放口)。4.2.1.2第二类污染物:在排污单位排放口采样,其最高允许排放浓度必须达到本标准要求。应熟悉该标准中第一类污染物名称,了解其标准值,具体见该标准表1:

3.根据《制定地方大气污染物排放标准的技术方法》(GB/T 13201-91)中的

公式计算出该项目二甲苯卫生防护距离为533 m,请确定该项目厂区的卫生防护距

离。

《环境影响评价案例分析》考试大纲中“六、环境保护措施分析(2)分析污染控制措施及其技术经济可行性”。举一反三:卫生防护距离的设定是一类特殊的污染控制措施,一方面要会利用专门的卫生防护距离标准判断卫生防护距离;另一方面还要就项目的特殊性,根据环评预测结果,合理确定推荐的卫生防护距离。了解《制定地方大气污染物排放标准的技术方法》 (GB/T 13201-91)中有害气体无组织排放控制与工业企业卫生防护距离标准的制定方法规定:7.3卫生防护距离在100 m以内时,级差为50m;超过100 m,但小于或等于1 000 m时,级差为100 m;超过1 000 m,级差为200 m。

7.4各类工业、企业卫生防护距离按下式计算:

式中:Cm——标准浓度限值,mg/m3;L——工业企业所需卫生防护距离,m;r——有害气体无组织排放源所在生产单位的等效半径,m,根据该生产单元占地面积S(m2),

A,B,C,D——卫生防护距离计算系数,无因次,根据工业企业所在地区近五年平均风速及工业企业大气污染源构成类别从表5查取;Qc——工业企业有害气体无组织排放量可以达到的控制水平,kg/h。Qc取同类企业中生产工艺流程合理,生产管理与设备维护处于先进水平的工业企业,在正常运行时的无组织排放量。

4.《环境影响评价案例分析》考试大纲中“二、项目分析(2)从生产工艺、资源和能源消耗指标等方面分析建设项目清洁生产水平”。清洁生产专题应重点阐述拟建项目生产工艺和技术来源,评价工艺技术与装备水平的先进性。分别给出单位产品物耗、能耗、水耗、污染物产生量、污染排放量以及全厂水的重复利用率等指标,体现循环经济理念,量化评价项目的清洁生产水平,由此提出提高清洁生产水平的措施及方案。本题主要考查新水用量指标的计算,但对其他指标的计算方法也应有所了解。

5.根据附3中《大气污染物综合排放标准》,计算该项目二甲苯最高允许排放

速率( kg/h),并分析该项目二甲苯有组织排放是否满足排放标准要求。

《环境影响评价案例分析》考试大纲中“四、环境影响识别、预测与评价(3)选用评价标准”。举一反三:熟悉《大气污染物综合排放标准》( GB 1629 7-1996)中关于最高允许排放速率计算的规定:7.3若某排气筒的高度处于本标准列出的两个值之间,其执行的最高允许排放速率以内插法计算,内插法的计算式见本标准附录B;当某排气筒的高度大于或小于本标准列出的最大或最小值时,以外推法计算其最高允许排放速率,外推法计算式见本标准附录B。7.4新污染源的排气筒一般不应低于15 m。若新污染源的排气筒必须低于15 m,其排放速率标准值按7.3的外推计算结果再严格50%执行。附录B(标准的附录)确定某排气筒最高允许排放速率的内插法和外推法B1某排气筒高度处于表列两高度之间,用内插法计算其最高允许排放速率,按下式计算:Q= Qa+(Qa+1 - Qa) (h-ha)/(ha+1 - ha)式中:Q——某排气筒最高允许排放速率;Qa ——比某排气筒低的表列限值中的最大值;Qa+1——比某排气筒高的表列限值中的最小值;h——某排气筒的几何高度;ha ——比某排气筒低的表列高度中的最大值;ha+1 ——比某排气筒高的表列高度中的最小值。B2某排气筒高度高于本标准表列排气筒高度的最高值,用外推法计算其最高允许排放速率。按下式计算:Q= Qb(h/hb2式中:Q-某排气筒的最高允许排放速率;Qb——表列排气筒最高高度对应的最高允许排放速率:h——某排气筒的高度;hb——表列排气筒的最高高度。B3某排气筒高度低于本标准表列排气筒高度的最低值,用外推法计算其最高允许排放速率,按下式计算:Q= Qc(h/hc

相关内容:汽车,制造,项目,素材,有限公司,生产线,工程,投资,40亿元,人民币,5万辆,整车,厂区,开发,区内

猜你喜欢

发表评论
更多 网友评论0 条评论)
暂无评论

访问排行

Copyright © 2012-2014 恰考网 Inc. 保留所有权利。 Powered by tikuer.com

页面耗时0.0408秒, 内存占用1.1 MB, Cache:redis,访问数据库17次