新建1 0万t/d污水处理厂项目 【素材】 A市拟新建一座规模为日处理能力1 0万t的城市污水处理厂,该项目建成后将收集该市的生活污水和工业废水,其中...

作者: tihaiku 人气: - 评论: 0
问题

新建1 0万t/d污水处理厂项目

【素材】

A市拟新建一座规模为日处理能力1 0万t的城市污水处理厂,该项目建成后将收集该市的生活污水和工业废水,其中工业废水占40%。拟建工程分污水处理厂(污水处理工程)和与污水处理厂相配套的城市污水收集系统、截流干管、中途提升泵站等设施,该污水处理厂采用二级生化处理工艺。污水处理厂厂址目前为旱地,不属于基本农田保护区范围。污泥经压缩、脱水、干化处理后送该市生活垃圾填埋场进行填埋处置。污水处理厂的尾水受纳水体为B河,B河由南到北穿越A市,在A市市区段水体功能为一般景观用水。B河上游为一座供水水库,在枯水期时断流。据现场踏勘,污水处理厂厂界正南120 m处有黄家湾居民200人,东南方向100 m处有晨光村居民1 80人。已知B河水文条件简单,水深不大,污水处理厂排污对B河的影响可采用河流一维稳态水质模式进行预测。

【问题】

1.从环境保护角度出发,列举理由说明优化的污泥处理及处置措施。

2.请根据进水和出水水质计算BOD5、COD、SS、氨氮、TN、TP的去除率,并将计算结果填写在表1里。

3.请列出预测该污水处理站排放口下游20 km处BOD5所需要的基础数据和参数。

4.公众参与方式可以采取哪些形式?在该项目公众参与调查中应给出哪几个方面的环境影响信息?

5.污水处理站产生的恶臭可以采取哪些污染防治措施?

选项

1.答:该项目将污泥送入生活垃圾填埋场进行卫生填埋的方法不妥。如果污泥符合《农用污泥中污染物控制标准》( GB 4284-84)的规定,则该项目可以采用农田利用的方式处置污水处理厂污泥。理由如下:城市污水处理厂污泥的最终处置通常采用土地施用、陆地填埋、焚烧和海洋处置四种方式。就土地施用、陆地填埋和焚烧三种方法来说,其费用比为1:2:4。由于污水处理厂污泥中含有机质较多,并且含有氮、磷、钾等营养元素,因此可作为农肥利用,故经消毒后的污泥可用于农田施用。如果工业废水中含有毒有害的重金属,则农田利用安全问题值得重点关注。首先应当按照《危险废物鉴别标准—浸出毒性鉴别》( GB 5085.3-2007)对污泥做浸出毒性鉴别,判断重金属是否属于浸出毒性的危险废物。如果污泥属于危险废物,则应当对污泥中的重金属含量和受纳的农业土壤土质进行分析论证,并对污泥农田利用可行性及安全性进行进一步分析,提出有效去除污泥中重金属的污染防治措施,避免重金属对土壤产生二次污染。

2.答:根据计算结果,BOD5、COD.SS、氨氮、TN.TP的去除率见表2。

3.答:预测BOD5可以采用河流一维稳态水质模式或Streeter-Phelps模式(S-P模式)进行预测。预测排放口下游20 km处BOD5所需要的基础数据和参数如下:受纳水体的水质、B河的基础数据(包括流量、河宽、流速、平均水深、河流坡度、弯曲系数等)、污水总排放量、BOD5排放浓度(排放浓度含正常排放和非正常排放浓度)、横向混合系数My、纵向离散系数、降解系数、废水排放口设置(是否为岸边排放、排放口离岸边的距离)等。

4.答:公众意见调查可根据实际需要和具体条件,采取举行论证会、听证会或者其他形式,如会议讨论、座谈、网络公示、热线电话、公众信箱、新闻发布,以及开展社会调查如问卷、通信、访谈等,通过上述方式征求有关单位、专家和公众(尤其是黄家湾和晨光村的居民)的意见。在该项目公众参与调查中应给出以下几方面的环境影响信息:工程概况(包括污水处理厂规模、主要工程建设内容、工程总投资、主要生产工艺、建设期等)、目前A市环境质量现状、污水处理厂的建设带来的主要环境影响范围和程度(包括恶臭和含菌气溶胶对环境及周边环境保护目标产生的影响、污水处理厂事故排放对B河产生的影响、设备运行对声环境的影响)、需拆迁居民的数量和补偿经费、拟采取的环境保护措施及预期达到的效果、对公众的环保承诺等。

5.答:恶臭可以采取以下污染防治措施:(1)将恶臭主要发生源尽可能地布置在远离厂址附近的居民区等敏感点的地方,以保证环境敏感点在防护距离之外而不受到影响;(2)设置卫生防护距离,卫生防护距离内的黄家湾居民区和晨光村居民应当拆迁;(3)在厂区污水及污泥生产区周围设置绿化隔离带,选择种植不同系列的树种,组成防止恶臭的多层防护隔离带,尽量降低恶臭污染的影响;(4)污泥浓缩控制发酵,污泥脱水后要及时清运以减少污泥堆存,在各种池体停产修理时,池底积泥会裸露出来并散发臭气,应当采取及时清除积泥的措施来防止臭气的影响;(5)对污水厂散发恶臭气体的单元进行加盖处理,恶臭收集后处理。主要除臭技术有离子除臭法、生物除臭法和化学除臭法。

答案
解析

2006年、2007年连续两年全国环境影响评价工程师职业资格考试中都有污水处理厂题目。污水处理厂项目是社会区域中的重要行业,应当引起考生的注意。

1.《环境影响评价案例分析》考试大纲中“六、环境保护措施分析(2)分析污染控制措施及其技术经济可行性”。举一反三:污泥处置的基本要求:(1)污泥处理处置一般要实施全过程管理,体现减量化、稳定化、无害化,保证安全、环保,实现污泥的综合利用,回收和充分利用污泥的能源和物资。(2)城市污水处理厂污泥应因地制宜采取经济合理的方法进行稳定处理。(3)在厂内经稳定处理后的污泥宜进行脱水处理,其含水量小于80%。(4)处理后的城市污水处理厂污泥用于农业时,应符合《农用污泥中污染物控制标准》( GB 4284-84)的规定;用于其他方面时,应符合相应的有关现行规定。(5)城市污水处理厂污泥不得任意弃置。禁止向一切地面水体及其沿岸、山谷、洼地、溶洞以及划定的污泥堆放场以外的任何区域排放城市污水处理厂污泥。

2.《环境影响评价案例分析》考试大纲中“六、环境保护措施分析(2)分析污染控制措施及其技术经济可行性”。BOD5去除率=(150-10) /150*100% =93%,其他污染物去除率的计算方法与BOD5相同。举一反三:污水处理效率的计算公式为:Ei=(ci0-cie)/ci0*100%式中:Ei——污水处理厂污染物的处理效率,%;ci0——未处理污水中Z污染物的平均浓度,mg/L;cie——处理后污水中Z污染物的允许排放浓度,mg/L。

3.《环境影响评价案例分析》考试大纲中“四、环境影响识别、预测与评价(7)选择、运用预测模式与评价方法”。举一反三:水环境预测中,应根据环评技术导则、评价等级和受纳水体的实际情况,确定采用的预测模式。预测范围内的河段可以分为充分混合段、混合过程段和上游河段。非持久性污染物充分混合段采用一维稳态模式。

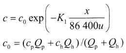
式中:x——计算点离初始点(排放口)的距离,m;u—— 河水流速,m/s;Qp——废水排放量,m3/s;cp——污染物浓度,mg/L;Qh——河水流量,m3/S;的选择和论述;项目建成后某大型河道水质的改善情况以及建设项目排放的尾水对河道水体水环境的影响程度,特别是尾水排放对下游饮用水源地的影响;项目运行期恶臭对周围环境敏感点(居民区)和对周围大气环境质量的影响;施工期间(包括管道工程的施工、厂址平整过程)产生的固体废物对周围环境的影响;公众参与。

3.此污水处理厂污水处理工艺为改良的A/O法。其主要污染物为恶臭、噪声、固

体废物、厂区生活污水及生活垃圾。

该污水处理厂恶臭排放源主要为进水泵房、格栅井、沉沙池、初沉池、曝气池、

二沉池、污泥预浓缩池、污泥后浓缩池、污泥脱水机房等。

噪声主要来源于进水泵、除砂机、污泥泵、鼓风机、污泥脱水泵以及厂区内外

来往车辆。

固体废物主要包括栅渣、沉沙以及从二沉池中排出的剩余污泥经浓缩及脱水后

产生的泥饼。

4.答:根据污水处理系统外排尾水及受纳水体的水污染特征,选择BOD5、COD、氨氮为本次水质预测的主要评价因子。

5.环境影响预测主要包括哪些内容?(1)恶臭污染物环境影响预测与评价;(2)水环境影响预测与评价;(3)噪声环境影响预测与评价;(4)污泥处置影响预测与评价;(5)施工期环境影响预测与评价;(6)事故风险评价。

相关内容:污水,处理厂,项目,素材,一座,规模,城市污水,生活污水,工业废水

猜你喜欢

发表评论
更多 网友评论0 条评论)
暂无评论

访问排行

Copyright © 2012-2014 恰考网 Inc. 保留所有权利。 Powered by tikuer.com

页面耗时0.0445秒, 内存占用1.06 MB, Cache:redis,访问数据库20次