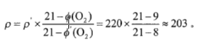
某企业燃煤锅炉排放二氧化硫的实测浓度为220 mg/m3 ,实测的氧含量为8% , 基准氧含量为9% ,则该锅炉的基准氧含量二氧化硫浓度排放为( )。A....

作者: rantiku 人气: - 评论: 0
问题 某企业燃煤锅炉排放二氧化硫的实测浓度为220 mg/m3 ,实测的氧含量为8% , 基准氧含量为9% ,则该锅炉的基准氧含量二氧化硫浓度排放为( )。
选项 A. 220 mg/m3 B. 238 mg/m3 C. 203 mg/m3 D. 249 mg/m3
答案 C
解析 从解题技巧上看,实测的轧含量如果低于基准氧含量,折算为基准氧含量排放浓度比实训值要低,只有选项C 符合。实测的氧含量如果大于基准氧含量, 折算为基准氧含量排放浓度比实测值要高。

猜你喜欢

发表评论
更多 网友评论0 条评论)
暂无评论

访问排行

Copyright © 2012-2014 恰考网 Inc. 保留所有权利。 Powered by tikuer.com

页面耗时0.0366秒, 内存占用1.03 MB, Cache:redis,访问数据库20次