某水域经几次监测CODCr的质量浓度为:16.9mg/L、19.8mg/L、17.9mg/L、21.5mg/L、14.2mg/L,用内梅罗法计算CODCr...

作者: tihaiku 人气: - 评论: 0
问题 某水域经几次监测CODCr的质量浓度为:16.9mg/L、19.8mg/L、17.9mg/L、21.5mg/L、14.2mg/L,用内梅罗法计算CODCr的统计质量浓度值是()mg/L。
选项 A:18.1 B:21.5 C:19.9 D:19.4
答案 C
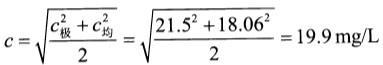
解析 5个样本的平均值是18.06mg/L,实测极值是21.5mg/L,则:

猜你喜欢

发表评论
更多 网友评论0 条评论)
暂无评论

访问排行

Copyright © 2012-2014 恰考网 Inc. 保留所有权利。 Powered by tikuer.com

页面耗时0.0363秒, 内存占用1.04 MB, Cache:redis,访问数据库19次