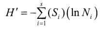
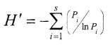
香农-威纳指数(Shannon-WeinerIndex)是物种多样性调查最常用的方法,其计算公式为()(注:Pi为属于第i物种在全部采样中的比例,S是物种...

作者: tihaiku 人气: - 评论: 0
问题 香农-威纳指数(Shannon-WeinerIndex)是物种多样性调查最常用的方法,其计算公式为()(注:Pi为属于第i物种在全部采样中的比例,S是物种数,N是总个体数)。
选项 A: B: C: D:
答案 D
解析

相关内容:香农,威纳,指数,Shannon-WeinerIndex,物种,多样性,调查,最常,方法,公式,比例

猜你喜欢

发表评论
更多 网友评论0 条评论)
暂无评论

访问排行

Copyright © 2012-2014 恰考网 Inc. 保留所有权利。 Powered by tikuer.com

页面耗时0.0362秒, 内存占用1.04 MB, Cache:redis,访问数据库17次